| 二、用计算法估计样本含量 | 《医学统计学》 |
二、用计算法估计样本含量我们运用前面学过的某些假设检验公式,就可以进行样本含量的计算。下面仅举两例略作介绍。这里的公式仅适用于α=0.05,1—β=0.50。而且都是双侧检验。 (一)两个率比较时样本含量的计算 令n为每组所需例数,P1、P2为已知的两个率(用小数表示),P为合并的率,当设两组例数相等时,即P=(P1+P2)/2。q=1=p,则
例11.5 据某院初步观察,用甲、乙两种药物治疗慢
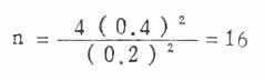
本例P1=0.45,P2=0.25,P=(0.45+0.25)÷2=0.25,q=1-0.35=0.65,代入式11.1 每组需观察46人,两组共观察92人,注意:例数问题不同于一般数学计算中的四舍五入,凡是有小数的值,应一律取稍大于它的正整数,如本例45.5取46,若为45.1也应取46。 (二)个别比较t检验样本含量的计算 令n为所需样本数,S为差数的标准差,X为差数的均数,t0.05O为t值表上相当于P=0.05的t值,4为n足够大时t20.05=1.962的数,则 大样本 小样本 例11.6 用某药治疗胃及十二指肠溃疡病人,服药四周后胃镜复查时,患者溃疡面平均缩小0.2cm2,标准差为0.4cm2,假定该药确能使溃疡面缩小或愈合,问需多少病人作疗效观察才能在α=0.05的水准上发出用药前后相差显著? 本例X=0.2,S=0.4,先代入式(11.2)
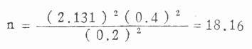
由于n<30,故用式(11.3)重算。当n=16,ν=16-1=15,t0.05=2.131,
当n=19(略大于18.16),ν=19-1=18,t0.05=2.101
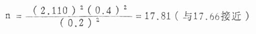
当n=18,ν =18-1=17,t0.05=2.110
故至少需用18人作疗效观察。
|