一、样本均数与总体均数的比较《医学统计学》

一、样本均数与总体均数的比较

为了判断观察到的一组计量数据是否与其总体均数接近,两者的相差系同一总体中样本与总体之间的误差,相差不大;还是已超出抽样误差的一般允许范围而存在显着差别?应进行假设检验,下面通过实例介绍t检验的方法步骤。

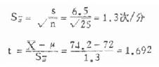
例7.1 根据大量调查得知,健康成年男子脉搏均数为72次/分,某医生在某山区随机抽查健康成年男子25人,其脉搏均数为74.2次/分,标准差为6.5次/分。根据这个资料能否认为某山区健康成年男子的脉搏数与一般健康成年男子的不同?

在医学领域中有一些公认的生理常数如本例提到的健康成人平均脉搏次数72次/分,一般可看作为总体均数μ。已知在总体均数μ和总体标准差σ已知的情况下可以予测样本均数分布情况,现缺总体标准差,则需用样本标准差来估计它,那么样本均数围绕总体均数散布的情况服从t分布(尤其当样本含量n较小时,)。t分布的基本公式即6.5。

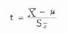
从式中可知,t是样本均数与总体均数之差(以标准误为单位),t的绝对值越大也即X距μ越远。在t分布中距μ越远的样本均数分布得越少(所占百分比小,P值小),后面附表3右上角的示意图中展示了这种关系,如欲知各自由度下t值与其相应的P值可查附表3。

下面回答本例提出的问题而进行假设检验。按一般步骤:

(1)提出检验假设H0与备择假设H1。本例H0为某山区成年男子的脉搏均数与一般成年男子的相等,μ=μ0=72次/分;H1为两者不相等μ≠μ0,即μ大于或小于μ0(这是双侧检验,如果事先已肯定山区人的脉搏不可能低于一般人,只检验它是否高于一般人,则应用单侧检验,H1必为μ>μ)。

(2)定显著性水准α,并查出临界t值。α是:若检验假设为真但被错误地拒绝的概率。现令α=0.05,本例自由度ν=n-1=25-1=24、查附表3得t0.05,24=2.064。若从观察资料中求出的∣t∣值小于此数,我们就接受H0;若等于或大于此值则在α=0.05水准处拒绝H0而接受H1

(3)求样本均数X、标准差S及标准误Sχ并进而算出检验统计量t。现已知X=74.2次/分,S=6.5次/分,只要求出Sχ及t值即可。

(4)下结论:因∣t∣t0.05,24=2.064,所以检验假设H0得以接受,从而认为就本资料看,尚不能得出山区健康成年人的脉搏数不同于一般人而具有显著差别的结论。

上一页:第六章 t检验与u检验
当前页:一、样本均数与总体均数的比较
下一页:二、成对资料样本均数的比较