| (二)t检验 用于σ未知且n较小时。 | 《预防医学》 |
(二)t检验 用于σ未知且n较小时。
公式(19.7) 以算得的统计量t,按表19-4所示关系作判断。 表19-4 |t|值、P值与统计结论
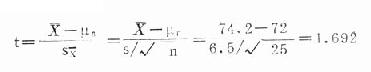
例19.4 若例19.3中总体标准差σ未知,但样本标准差已求出,s=6.5次/分,余数据同例19.3。 据题意,与例19.3不同之处在于σ未知,可用t检验。 H0: μ=μ0 H1: μ>μ0 α=0.05(单侧检验)
本例自由度v=25-1=24,查t界值表(单侧)(附表19-1)得t0.05(24)=1.711。算得的统计量t=1.692<1.711,P>0.05,按α=0.05检验水准不拒绝H0,尚不能认为该山区成年男子的脉搏高于一般。
|
返回目录 |