4. 某些重要不等式

[算术平均值与几何平均值不等式]

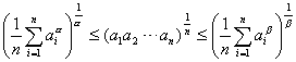
1o 几个数的算术平均值的绝对值不超过这些数的均方根,即

等号只当时成立.

2o a1, a2, L , an均为正数,则它们的几何平均值不超过算术平均值,即

等号只当时成立.

3o n个正数a1, a2, L , an的加权平均值,有

等号只当a1=a2=L =an时成立.

4o a1, a2, L , an为正数,又则有

[柯西不等式] 设ai, bi(i=1, 2, L , n)为任意实数,则

等号只当时成立.这个不等式表明一个角(取实数值)的余弦值总是小于1的,或者说二矢量内积小于二矢量长度之积.

[赫尔德不等式]

1o ai, bi, L , li(i=1, 2, L , n)为正数,又a , b , L , l 为正数,且a +b +L +l =1

等号只当时成立.

2o ai, bi (i=1, 2, L , n)为正数,又k>0, k¹ 1, k共轭,即,或,则

等号只当时成立.

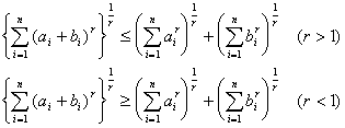
[闵可夫斯基不等式] ai, bi>0 (i=1, 2, L , n)r>0, r¹ 1,

等号只当时成立.r=2时,此不等式也称为三角形不等式,它表明三角形两边之和大于第三边.

[契贝谢夫不等式] ai>0, bi>0 (i=1, 2, L , n).a1£ a2£ L £ an, b1£ b2£ L £ bn, a1³ a2³ L ³ an, b1³ b2³ L ³ bn,

a1£ a2£ L £ anb1³ b2³ L ³ bn

[詹生不等式] ai>0 (i=1, 2, L , n)0<r£ s

[伯努利不等式] a>1,自然数n>1,则

特别令,则